Background Despite recent improvements in the field of JAK inhibitors, allogeneic hematopoietic stem cell transplantation (HSCT) remains the only potentially curative treatment for patients with myelofibrosis. However, HSCT is associated with a non-negligible treatment-related morbidity and mortality, with graft-versus-host disease (GvHD) being one of the major complications for these patients. In vivo T-cell depletion with antithymocyte/antilymphocyte globulin (ATG/ATLG, short ATG) as part of the conditioning regimen prior to HSCT is widely used as a GvHD prophylaxis, but data on its role in the setting of myelofibrosis is scarce. The aim of this study was to evaluate the impact of ATG on clinical outcomes of patients with myelofibrosis undergoing HSCT in a large international retrospective study.
Patients and Methods We leveraged a multicenter collaborative network of 7 European and US academic transplant centers to accrue myelofibrosis patients who underwent first HSCT. The primary endpoint was GvHD-free and relapse-free survival (GRFS), whereas secondary endpoints were acute and chronic GvHD, relapse incidence, non-relapse mortality (NRM), and overall survival (OS). We applied multivariate Cox and Fine & Gray modelling to adjust for potential confounders. In addition, a Dependent Dirichlet Process model for censored data was developed, which can adjust for potential violations of the ubiquitous proportional hazards assumption. Finally, to check results and to obtain another reliable comparison, we applied a propensity score matching of the two groups.
Results Overall, we identified 806 patients, of whom 513 received ATG and 293 received non-ATG GvHD prophylaxis. No significant differences were observed between the two groups with regards to median age at HSCT (57 years for both) nor for gender, disease ontogenesis (primary or secondary), frequency of driver mutations, and treatment with ruxolitinib prior to transplant. Patients in the ATG and the non-ATG group differed for other characteristics including splenectomy prior to transplant (8% vs. 20%), donor type (matched related donor (MRD): 21% vs. 39%), Karnofsky Performance Status (<90%: 39% vs. 26%), intensity of conditioning therapy (reduced intensity conditioning (RIC) in 80% vs. 40%) and the presence of constitutional symptoms (58% vs. 44%). Regarding the Dynamic International Prognostic Scoring System (DIPSS), the ATG cohort was more enriched in intermediate-2 and high-risk diseases (64% vs. 58%). Notably, the most common stem cell source in the ATG and the non-ATG cohort was in both cases peripheral blood (98% vs. 95%).
The cumulative incidence of acute GvHD grade II-IV was 35% (95% CI, 31-39%) for the ATG group vs. 58% (95% CI, 52-64%) for the non-ATG group (P<0.001). No difference in incidence of chronic GvHD was observed, showing 53% (95% CI, 49-57%) for the ATG group vs. 52% (95% CI, 47-57%) for the non-ATG group (P=0.52).
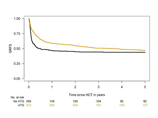
With a median follow-up of 6.5 years for the ATG group and 7 years for the non-ATG group (P=0.10), the 5-year estimates for GRFS were 47% (95% CI, 43-51%) vs. 44% (95% CI, 38-50%; P=0.007; Figure), respectively. The 5-year cumulative incidence of relapse was 14% (95% CI, 10-18%) vs. 13% (95% CI, 8-18%; P=0.62) and the 5-year cumulative incidence of death without relapse for both groups was 28%, respectively (P=0.59). Remarkably, 5-year OS was similar, being 63% (95% CI, 59-67%) for the ATG group vs. 62% (95% CI, 58-68%) for the non-ATG group (P=0.56).
Multivariable modelling for GRFS (adjusting for donor type, performance status, conditioning intensity, and DIPSS categories) showed an independent significant reduction in risk for GvHD or relapse in the ATG group (HR=0.85, 95% CI 0.79-0.91; P=0.007). Propensity score matching of 150 pairs confirmed the significant effect of ATG on GRFS (HR 0.90, 95% CI, 0.82-0.98; P=0.03). No differences between the two groups were identified for secondary endpoints of relapse, non-relapse mortality, and overall survival.
Conclusion The use of ATG as GvHD prophylaxis in patients with myelofibrosis undergoing HSCT resulted in significantly reduced GRFS. This effect was mainly driven by a significant reduction in acute GvHD.
Disclosures
Thol:Novartis: Membership on an entity's Board of Directors or advisory committees; AbbVie: Membership on an entity's Board of Directors or advisory committees. Heuser:Sobi: Honoraria; Loxo Oncology: Research Funding; Karyopharm: Research Funding; Agios: Research Funding; Astellas: Research Funding; Janssen: Honoraria; BergenBio: Research Funding; Bristol-Myers Squibb: Consultancy, Research Funding; Glycostem: Consultancy, Research Funding; Jazz Pharmaceuticals: Consultancy, Honoraria, Research Funding; Servier: Consultancy; Certara: Honoraria; Pfizer: Consultancy, Honoraria; PinotBio: Consultancy, Research Funding; Abbvie: Consultancy, Research Funding; Novartis: Honoraria; Amgen: Consultancy; LabDelbert: Consultancy. Maciejewski:Novartis: Honoraria, Speakers Bureau; Regeneron: Consultancy, Honoraria; Alexion: Membership on an entity's Board of Directors or advisory committees; Omeros: Consultancy. Reinhardt:Gilead: Research Funding; AbbVie: Consultancy; AstraZeneca: Research Funding; Merck: Consultancy; Vertex: Consultancy; Novartis: Consultancy; BMS: Consultancy; CDL Therapeutics GmbH: Consultancy; Roche: Consultancy. Kroeger:Riemser: Research Funding; Celgene/BMS: Honoraria, Research Funding; AOP Orphan Pharmaceutical, JAZZ, Takeda, Astellas: Honoraria; Novartis, Neovii: Honoraria, Research Funding.
